
MIL-PRF-14516G
3.3.5 Fuel supply. The fuel supply shall be from the standard high density polyethylene 5-
gallon military fuel can (see 3.6.2), mounted on the heater and delivered to the fuel control valve
by means of a siphon arrangement. The can mounting area shall have a means to protect the
fuel can from heat damage and prevent the fuel from reaching its flash point temperature (JP8-
1008F).
3.3.6 Fuel control. The heaters shall have a fuel control that maintains a constant flow rate to
the burner from the 5-gallon can. The fuel control shall have a metering knob to control flow
rate incrementally with a minimum of 5 settings. The fuel control shall provide sufficient fuel
flow to achieve the full range of required heat outputs corresponding to table II utilizing no less
than 70% of the full range of settings on the valve. The fuel control shall be permanently labeled
to identify settings. The fuel control shall control fuel flow to the burner to eliminate any
possibility of an unsafe over fire condition when operated at the proper settings for the prevailing
ambient temperatures and fuel types. The fuel control shall regulate the firing rate in conjunction
with the heater, such that, for over 70% of the full range of settings, smoke levels shall not
exceed a # 4 on the Bacharach smoke scale.
3.3.7 On/off switch. The heater shall have an on/off switch in an easily accessible location
which immediately cuts off fuel to the burner when turned off.
3.3.8 Fuel filtering. A means to eliminate foreign particles from obstructing fuel flow shall
be included. It shall be serviceable within 15 minutes with common hand tools with out the need
for supplemental sealers to prevent leaks.
3.3.9 Combustion efficiency. The heater shall have a combustion efficiency greater than
60% when operated 50,000 BTU/hr or higher.
3.3.10 Smoke. The smoke reading of the heater shall not be greater than a No. 4 on the
Bacharach smoke scale when the heater is operated between 30,000 BTU/Hr and 60,000
BTU/Hr.
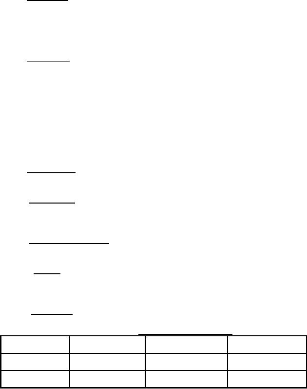
3.3.11 Heat output. The heater shall provide the BTU outputs listed in table II.
TABLE II. Heat Output Requirements
Ambient (E F)
Fuel
Output (low)
Output (high)
40
DF2
30,000 BTU/Hr
50,000 BTU/Hr
-25
JP8
40,000 BTU/Hr
60,000 BTU/Hr
3
For Parts Inquires call Parts Hangar, Inc (727) 493-0744
© Copyright 2015 Integrated Publishing, Inc.
A Service Disabled Veteran Owned Small Business